This node module connects to a Docker socket and deletes the least used images until a threshold of disk usage is hit.
The goal of the module is to clean up layers from the disk. However, because layers keep a reference to their parent layer, removal is not always possible. The data structure that emerges from the layers is a tree of layers where each layer points to their parent.
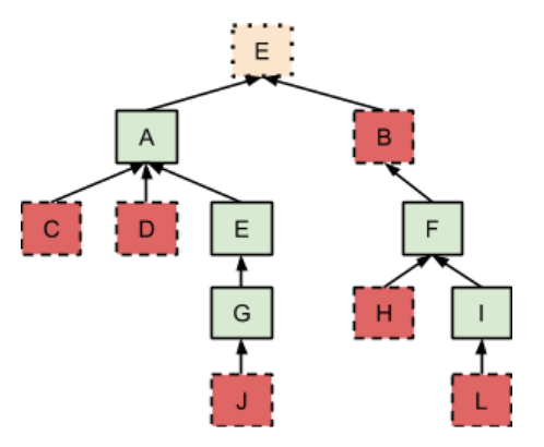
In order to have a single root for all the layer we assume a virtual empty layer that all layers have as a parent and that is never deleted.
When interacting with a Docker daemon we don’t refer directly to layers. Our unit of manipulation is an image, which can be thought of as a named pointer to the combination of a layer and some configuration. For the purposes of the garbage collector we only need to know which layers of our tree are entrypoints for the images. Annotating the above tree with this information we end up with something like this:
Whenever docker is asked to delete an image it will delete the layer the image points to and all its ancestors until it hits a layer that is being used by some other image. From this follows that whenever we have a tree of layers all the leaves are necessarily images, otherwise they would have been deleted.
Leaves are not the only images in the system though, an image can point to a
layer that is internal to the tree. In the figure above image B could be the
ubuntu base image and H and L two images that were based on the ubuntu
image.
When given a layer tree we can attempt to prune it in order to reclaim some space. In order to decide what to prune we first need to come up with our options and then rank them. At every step, the list of images that can reclaim space are only the images at the leaves. In other words, removing the ubuntu image while keeping another image that is based on ubuntu reclaims zero space.
In short, the algorithm this module is parameterized by the desired space to reclaim and follows this procedure:
reclaimed_space = 0
while reclaimed_space < reclaim_target:
candidates = layer_tree.get_leaves()
oldest = candidates.sort_by(‘last_used_time’)[0]
reclaimed_space += calculate_saving(layer_tree, oldest)
oldest.remove()In order to calculate the expected saving of removing an image all we need to do is walk up the tree of layers until we either find one that has more than one child (i.e it’s being used by some other image) or find one that is an image itself.
So from the figure above removing L will reclaim space equal to L_space + I_space because F has more than one child. Proceeding to also remove H
will reclaim space equal to H_space + F_space because B is itself an image
and cannot be removed.
Docker does not track, and therefore does not offer over its API, the last time an image was used. It only knows when an image was created. Using this date for the eviction policy is undesirable because an image created long ago that is being used all the time is very valuable. To remedy this this module subscribes to the docker event stream and listens for containers starting/stopping and other events that reference images. Every time an image is referenced the module updates the metadata in its tree data structure that is then used for the eviction policy.

