An implementation of the PageRank (PR) algorithm that is used by Google to rank web pages in their search engine results.

pagerank property which can be used to find the most important nodes in the network.
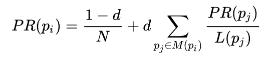
The program uses the following formula for computing the PageRank of nodes:
The above is a modified version of the PageRank formula mentioned in the original paper. The original is commonly agreed upon to be incorrect.
Step 1) Build JAR file
mvn package
Step 2) Run the program
java -jar target/pagerank-<version>.jar --help
java -jar pagerank-<version>.jar --verbose --damping 0.85 --iterations 0 --reset-db /path/to/network.graph
You can find the original paper for PageRank at the following link:
https://snap.stanford.edu/class/cs224w-readings/Brin98Anatomy.pdf
This project is licensed under the terms of the MIT License.
